On se propose de vérifier si un entier M, supérieur ou égal à 2, est n-rond.
M est dit n-rond s’il existe un entier n tel que le plus grand facteur premier de M, noté P, vérifie la condition 𝑃 ≤ 𝑛√𝑀 (avec 𝑛√𝑀 est la racine nième de M).
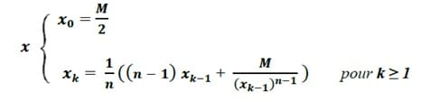
Afin de calculer une valeur approchée de la racine nième de M (n√M), on utilise la suite 𝑥 définie comme suit :

1- Ecrire un algorithme d’une fonction RacineN (M , n) qui permet de retourner une valeur approchée de la racine nième de M, en utilisant la suite 𝑥. Le calcul s’arrête lorsque | 𝑥 k – 𝑥 k-1 | ≤ 10-4 et la valeur approchée de 𝑛√𝑀 correspond alors au dernier terme calculé 𝑥 k.
2- Ecrire un algorithme d’une fonction Facteur (M) qui permet de retourner le plus grand facteur premier P de l’entier M.
Pour M=21 la fonction Facteur retourne 7 car sa décomposition en facteurs premiers donne 21 = 3 * 7.
Pour M=432 la fonction Facteur retourne 3 car sa décomposition en facteurs premiers donne 432 = 24 * 33.
3- En faisant appel aux deux fonctions RacineN et Facteur, écrire un algorithme d’une fonction NRond (M) qui permet de retourner le plus grand entier n qui vérifie 𝑃 ≤ 𝑛√𝑀 dans le cas où M est n-rond et de retourner -1 dans le cas contraire (avec P est le plus grand facteur premier de M).
Exemples :
NRond (432) retourne 5 car pour P=3, qui est le plus grand facteur premier de 432, l’entier n=5 correspond au plus grand entier qui vérifie 3 ≤ 5√432. En effet on a :

NRond (21) retourne -1 car pour P=7, qui est le plus grand facteur premier de 21, il n’existe pas un entier n tel que 7 < n√21 .
En effet 7 > 2√21 = 4,5825.
Dans cet algorithme, On va utiliser cinq fonctions :
- la fonction saisie()
- la fonction exposant()
- la fonction racine()
- la fonction facteur()
- la fonction nrond()
|
1 2 3 4 5 6 7 8 9 10 |
Algorithme nombre_nrond Debut m <- saisie() # Saisie de l'entier par l'utilisateur # Test si m est "Nrond" Si nrond(m) != -1 alors Ecrire(m, 'est Nrond') Sinon Ecrire(m, 'est non Nrond') Finsi Fin |
Déclaration des objets
| Objet | Type / Nature |
|---|---|
| m | entier |
Cette fonction permet de saisir et retourner un entier > 2 en contrôlant la validité de la saisie.
|
1 2 3 4 5 6 7 8 9 10 11 12 |
Fonction saisie():entier # Demande à l'utilisateur de saisir un entier n > 2 Ecrire('donner un entier n > 2') Lire(n) # Vérification de la validité de la saisie Tant que Non (n > 2) faire Ecrire('donner un entier n > 2 : ') Lire(n) Fin tant que # Retourne la valeur valide saisie par l'utilisateur retourner n Fin |
Déclaration des objets
| Objet | Type / Nature |
|---|---|
| n | entier |
Cette fonction calcule et retourne la valeur de ne en utilisant des multiplications successives.
|
1 2 3 4 5 6 7 8 |
Fonction exposant(n:entier , e:entier):entier exp <- 1 # Multiplication répétée n * n * ... * n (e fois) Pour i de 0 à e-1 faire exp <- exp * n Fin pour retourner exp Fin |
Déclaration des objets
| Objet | Type / Nature |
|---|---|
| i | entier |
| exp | entier |
Cette fonction calcule la racine n-ième d’un nombre m par itérations successives et retourne la valeur approchée de la racine.
|
1 2 3 4 5 6 7 8 9 10 11 12 |
Fonction racine(m:entier, n:entier):reel x0 <- m / 2 # Valeur initiale approximative x1 <- (1/n) * ((n-1) * x0 + (m / exposant(x0, n-1))) # Première approximation # Boucle jusqu'à ce que la différence entre deux approximations soit < 0.0001 Tant que abs(x1 - x0) > 0.0001 faire x0 <- x1 x1 <- (1/n) * ((n-1) * x0 + (m / exposant(x0, n-1))) Fin tant que # Retourne la racine calculée retourner x1 Fin |
Déclaration des objets
| Objet | Type / Nature |
|---|---|
| x0 | réel |
| x1 | réel |
Cette fonction permet de calculer le plus grand facteur premier d’un entier m.
|
1 2 3 4 5 6 7 8 9 10 11 12 13 |
Fonction facteur(m:entier):entier i <- 2 grand_facteur <- 0 Tant que (m>1) faire Si m mod i = 0 alors # Si i divise m grand_facteur <- i m <- m div i # Divise m par i Sinon i <- i + 1 # Sinon, essaye le nombre suivant Fin si Fin tant que retourner grand_facteur Fin |
Déclaration des objets
| Objet | Type / Nature |
|---|---|
| i | entier |
| grand_facteur | entier |
Cette fonction permet de déterminer si un entier m est un nombre “Nrond” en utilisant la relation entre le plus grand facteur premier de m et ses racines n-ièmes.
|
1 2 3 4 5 6 7 8 9 10 11 12 13 14 15 16 17 18 19 20 |
Fonction nrond(m:entier):booleen p <- facteur(m) # Plus grand facteur premier Ecrire("P=", p) n <- 3 r <- racine(m, n-1) # Calcul initial de la racine (n-1)-ième # Boucle jusqu'à ce que le plus grand facteur soit inférieur à la racine Tant que p < r faire Ecrire(r) n <- n+1 r <- racine(m, n) Fin tant que # Vérifie la condition finale pour retourner n ou -1 Si p <= racine(m, n-1) alors retourner n-1 Sinon retourner -1 Fin si Fin |
Déclaration des objets
| Objet | Type / Nature |
|---|---|
| p | entier |
| r | réel |
|
1 2 3 4 5 6 7 8 9 10 11 12 13 14 15 16 17 18 19 20 21 22 23 24 25 26 27 28 29 30 31 32 33 34 35 36 37 38 39 40 41 42 43 44 45 46 47 48 49 50 51 52 53 54 55 56 57 58 59 60 61 62 63 64 65 66 67 68 69 70 71 72 73 74 75 76 77 78 79 80 81 82 83 84 85 86 87 88 89 90 91 92 93 |
# -------------------------------------------------- # Fonction qui demande à l'utilisateur de saisir un entier n >= 2 # -------------------------------------------------- def saisie(): # Demande initiale à l'utilisateur m = int(input('donner n >= 2 : ')) # Vérification de la validité de la saisie # Tant que m est inférieur ou égal à 0, on redemande while not (m > 0): m = int(input('donner n >= 2 : ')) # Retourne la valeur valide saisie return m # -------------------------------------------------- # Fonction qui calcule n^e (puissance) # -------------------------------------------------- def exposant(n, e): exp = 1 # Multiplication répétée n * n * ... * n (e fois) for i in range(e): exp = exp * n return exp # -------------------------------------------------- # Fonction qui calcule la racine n-ième d'un nombre m # Méthode de Newton-Raphson # -------------------------------------------------- def racine(m, n): x0 = m / 2 # Valeur initiale approximative x1 = (1/n) * ((n-1) * x0 + (m / exposant(x0, n-1))) # Première approximation # Boucle jusqu'à ce que la différence entre deux approximations soit < 0.0001 while abs(x1 - x0) > 0.0001: x0 = x1 x1 = (1/n) * ((n-1) * x0 + (m / exposant(x0, n-1))) # Retourne la racine calculée return x1 # -------------------------------------------------- # Fonction qui calcule le plus grand facteur premier de m # -------------------------------------------------- def facteur(m): i = 2 grand_facteur = 0 while (m > 1): if m % i == 0: # Si i divise m grand_facteur = i m = m // i # Divise m par i else: i = i + 1 # Sinon, essaye le nombre suivant return grand_facteur # -------------------------------------------------- # Fonction qui détermine si m est un nombre "Nrond" # selon une propriété liée aux racines et au plus grand facteur premier # -------------------------------------------------- def nrond(m): p = facteur(m) # Plus grand facteur premier print("P=", p) n = 3 r = racine(m, n-1) # Calcul initial de la racine (n-1)-ième # Boucle jusqu'à ce que le plus grand facteur soit inférieur à la racine while p < r: print(r) n = n + 1 r = racine(m, n) # Vérifie la condition finale pour retourner n ou -1 if p <= racine(m, n-1): return n - 1 else: return -1 # -------------------------------------------------- # Programme principal # -------------------------------------------------- m = saisie() # Saisie de l'entier par l'utilisateur # Test si m est "Nrond" if nrond(m) != -1: print(m, 'est Nrond') else: print(m, 'est non Nrond') |
Exécution du programme

La robotique éducative joue un rôle important dans l'éducation des enfants et des jeunes en les aidant à acquérir des compétences en science et technologie.
Dans ce cadre notre site web représente une excellente ressource pour les parents, les enseignants et les enfants qui souhaitent découvrir la robotique.
Zaouiet Kontech-Jemmel-Monastir-Tunisie
Site robotique réalisé par Mohamed Ali Haj Salah - Prof Info